
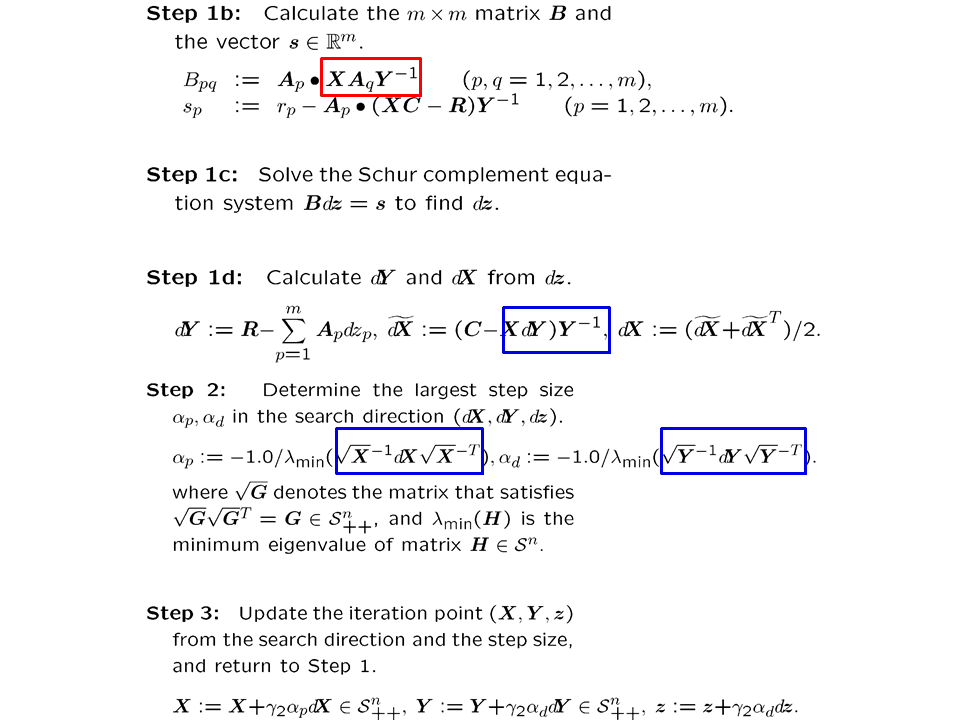
SDPARA を実行していて、定期的にブレードサーバから爆音がするので少し調べてみた。以下の赤い部分の計算中に起きると思っていたら違うようで、青い部分では同期してから同じ計算を全ノードで行うので、一斉に行列積(GotoBLAS2 の dgemm)が動き出して Turbo Boost 2.93GHz → 3.2GHz となって冷却のためファンがフル回転して爆音発生となるらしい。

○opt クラスタ計算機
1:PowerEdge M1000e(ブレードエンクロージャー) x 1台
2:PowerEdge M710HD(ブレードサーバ) x 16台
ブレードサーバの仕様:
CPU : インテル(R) Xeon(R) プロセッサー X5670(2.93GHz、12MB キャッシュ、6.4 GT/s QPI) x 2個
メモリ: 128GB (16X8GB/2R/1333MHz/DDR3 RDIMM/CPUx2)
Disk : 73GB x 2(1台のみ 300GB x 2)
NIC : GbE x 1 & Inifiniband QDR(40Gbps) x 1
OS : CentOS 5.7 for x86_64